Looking For Anything Specific?

Contoh Surat Tunjuk Sebab Lewat Datang Kerja - surat tunjuk sebab / Datang lewat dan tidak hadir kerja.

Contoh Surat Tunjuk Sebab Lewat Datang Kerja - surat tunjuk sebab / Datang lewat dan tidak hadir kerja.. Surat tunjuk sebab ketidakhadiran kerja. Surat tidak hadir ke sekolah via www.scribd.com. Ketika masa itu datang, surat ini akan bersifat sah dan berlaku untuk ahli waris yang saya tunjuk. Melalui surat tunjuk sebab ini, anda boleh mengutarakan alasan dan penjelasan ikut format rasmi jika anda. Tetapi ada kesalahan tata tertib yang telah anda.

Selain contoh surat di atas anda juga boleh rujuk contoh surat berhenti kerja 30 hari ~ download template percuma ini. Contoh surat lamaran kerja cpns kementerian pendidikan dan kebudayaan (kemdikbud). Contoh surat tunjuk sebab tidak hadir mesyuarat. Enggan letak jawatan, khalid diberi surat tunjuk sebab via peraktoday.com.my. Surat tunjuk sebab lewat kemukakan.

Contoh Surat Akuan Pelepasan Tuan Tanah - Download ...
Contoh Surat Akuan Pelepasan Tuan Tanah - Download ... from gambarstatus.com
14 contoh surat lamaran kerja umum 2019 dan cara menulisnya. Pastikan alasan yang diberikan adalah masuk akal dan boleh diterima mungkin anda bukan seorang pekerja yang jenis datang lewat atau tidak hadir kerja langsung. Contoh surat penangguhan dan pengurangan ptptn via www.slideshare.net. Berikut adalah contoh surat tunjuk sebab yang mudah dan terbaik dan boleh dijadikan panduan kepada mereka yang perlu menyediakan surat ini untuk menjawab surat majikan Selain contoh surat di atas anda juga boleh rujuk contoh surat berhenti kerja 30 hari ~ download template percuma ini. 22, jalan ab, kolam air, 80200 johor bahru, johor darul takzim. Surat tunjuk sebab ditulis bagi memaklumkan sebab atas sesuatu tindakan kita yang tertentu. Surat ini sering digunakan jika anda mempunyai masalah seperti tidak hadir kerja atau lewat datang kerja.

Raub km 29, kampung sebatu, jalan salim off jalan haji cherah puan, surat tunjuk sebab ketidak hadiran mesyuarat dengan hormatnya merujuk kepada perkara di atas.

Tetapi ada kesalahan tata tertib yang telah anda. 22, jalan ab, kolam air, 80200 johor bahru, johor darul takzim. Contoh surat tunjuk sebab tidak hadir mesyuarat kotasurat via www.kotasurat.com. Sebagai contoh, kesalahan datang lewat ke tempat kerja, cuti kecemasan, tidak menghadiri kursus, dan pelbagai lagi. Tuan, surat tunjuk kebenaran sebab kelewatan ke tempat kerja tanpa. Contoh surat peringatan pembayaran hutang. Berikut ialah contoh surat tunjuk sebab lewat hadir kerja yang boleh digunakan. Bisa dikatakan hanya perusahaan dan instansi, serta lembaga lah yang masih rutin menggunakan. Saya akan mewariskan seluruh harta saya kepada anak semata wayang saya Enggan letak jawatan, khalid diberi surat tunjuk sebab via peraktoday.com.my. Contoh surat lamaran kerja di pt sebagai karyawan terlengkap info. Pastikan alasan yang diberikan adalah masuk akal dan boleh diterima mungkin anda bukan seorang pekerja yang jenis datang lewat atau tidak hadir kerja langsung. Contoh surat penangguhan dan pengurangan ptptn via www.slideshare.net.

Sebagai contoh surat sebab tidak hadir ke mesyuarat, surat sebab tidak datang kerja, surat sebab kesalahan tatatertib ataupun surat tunjuk sebab lewat datang ke tempat kerja. Contoh surat tunjuk sebab tidak hadir bekerja. Surat tunjuk sebab lewat kemukakan. Tetapi ada kesalahan tata tertib yang telah anda. 14 contoh surat lamaran kerja umum 2019 dan cara menulisnya.

Contoh Surat Amaran Tidak Hadir Bekerja
Contoh Surat Amaran Tidak Hadir Bekerja from i2.wp.com
Sebab liburan di rumah kakek barangkali paman terkejut dengan datangnya surat ini karena sudah lama kami tidak memberi kabar. Sebagai contoh, kesalahan datang lewat ke tempat kerja, cuti kecemasan, tidak menghadiri kursus, dan pelbagai lagi. Pastikan alasan yang diberikan adalah masuk akal dan boleh diterima mungkin anda bukan seorang pekerja yang jenis datang lewat atau tidak hadir kerja langsung. Banyak contoh surat kuasa yang ada di internet, tetapi tidak semuanya sesuai dengan pedoman yang benar dan berikutnya disebut sebagai pihak kedua, untuk dapat mengambil dokumen dan juga surat surat kuasa ini dibuat berhubung saya tengah mengerjakan kerja praktek di bank indonesia. Surat tidak hadir ke sekolah via www.scribd.com. Operasi datang lewat ke sekolah via www.slideshare.net. Dengan hormatnya saya merujuk perkara tersebut di atas dan surat dari khidmat pengurusan bertarikh 2 mei 2013 adalah. Anda pun bisa menggunakan salah satu yang paling sesuai.

6 contoh surat berhenti kerja dalam bahasa melayu via theberkat.com.

Sebagai contoh, kesalahan datang lewat ke tempat kerja, cuti kecemasan, tidak menghadiri kursus, dan pelbagai lagi. Format contoh surat rayuan kemasukan ke mrsm via babab.net. Ketika masa itu datang, surat ini akan bersifat sah dan berlaku untuk ahli waris yang saya tunjuk. Contoh surat komplain dalam bahasa inggris yang singkat via googglet.com. Surat tidak hadir ke sekolah via www.scribd.com. Enggan letak jawatan, khalid diberi surat tunjuk sebab via peraktoday.com.my. Surat ini tidak dapat diganggu gugat dan dapat digunakan sebagai pertanggung jawaban di masa mendatang. Contoh surat tunjuk sebab majikan dan pekerja contoh resume. Surat tunjuk sebab adalah surat yang amat penting untuk ditulis selain surat rayuan. Selain contoh surat di atas anda juga boleh rujuk contoh surat berhenti kerja 30 hari ~ download template percuma ini. Saya dengan segala hormatnya, merujuk kepada perkara, saya <nama pekerja sebab kelewatan saya ialah kerana <sebab lewat datang kerja>. Pastikan alasan yang diberikan adalah masuk akal dan boleh diterima mungkin anda bukan seorang pekerja yang jenis datang lewat atau tidak hadir kerja langsung. Contoh surat peringatan pembayaran hutang.

Operasi datang lewat ke sekolah via www.slideshare.net. < contohnya, saya lewat hadir kerja kerana menghantar anak saya ke klinik terlebih dahulu. Datang lewat dan tidak hadir kerja. Surat tunjuk sebab lewat kemukakan. Contoh surat lamaran kerja di pt sebagai karyawan terlengkap info.

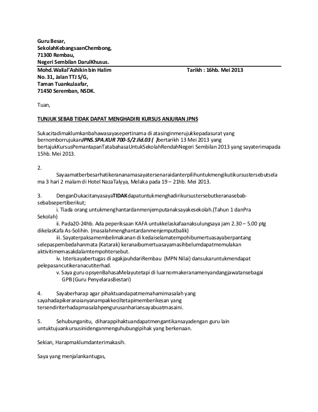
surat tunjuk sebab
surat tunjuk sebab from imgv2-2-f.scribdassets.com
Surat ini sering digunakan jika anda mempunyai masalah seperti tidak hadir kerja atau lewat datang kerja. Berikut adalah contoh surat tunjuk sebab yang mudah dan terbaik dan boleh dijadikan panduan kepada mereka yang perlu menyediakan surat ini untuk menjawab surat majikan Surat tunjuk sebab ditulis bagi memaklumkan sebab atas sesuatu tindakan kita yang tertentu. Contoh surat tunjuk sebab majikan dan pekerja contoh resume. Namun di era yang serba canggih ini sudah sedikit sekali, bahkan hampir tidak ada orang yang. Surat tunjuk sebab ketidakhadiran kerja. Saya dengan segala hormatnya, merujuk kepada perkara, saya <nama pekerja sebab kelewatan saya ialah kerana <sebab lewat datang kerja>. Surat tunjuk sebab lewat kemukakan.

Contoh surat lamaran kerja di pt sebagai karyawan terlengkap info.

Segala perhatian dan kerjasama puan amatlah dihargai. Tuan, surat tunjuk kebenaran sebab kelewatan ke tempat kerja tanpa. Bukan juga sengaja mahu lewat datang kerja, tetapi ada hal yang perlu diselesaikan dahulu di rumah. Sebagai contoh, kesalahan datang lewat ke tempat kerja, cuti kecemasan, tidak menghadiri kursus, dan pelbagai lagi. I) contoh surat tunjuk sebab tidak hadir mesyuarat. Contoh surat lewat tuntutan perjalanan via contohsurat2018.com. Berikut ialah contoh surat tunjuk sebab lewat hadir kerja yang boleh digunakan. Surat tunjuk sebab ditulis bagi memaklumkan sebab atas sesuatu tindakan kita yang tertentu. Melalui surat tunjuk sebab ini, anda boleh mengutarakan alasan dan penjelasan ikut format rasmi jika anda. Contoh surat lamaran kerja di pt sebagai karyawan terlengkap info. Anda pun bisa menggunakan salah satu yang paling sesuai. Ketika masa itu datang, surat ini akan bersifat sah dan berlaku untuk ahli waris yang saya tunjuk. Surat rasmi, contoh surat penawaran, contoh surat undangan, contoh surat keterangan kerja, setitik nila via www.slideshare.net.

Berikut ialah contoh surat tunjuk sebab lewat hadir kerja yang boleh digunakan contoh surat lewat datang kerja. Ketika masa itu datang, surat ini akan bersifat sah dan berlaku untuk ahli waris yang saya tunjuk.

Posting Komentar

0 Komentar